本文主要分析運放電路噪聲的組成,計算時的注意要點,并提供一個計算的小工具,讓噪聲計算簡單化。
在運放構成的反向放大電路中,噪聲主要來源于以下三方面:
(1)運放的輸入噪聲電壓(datasheet有數據曲線)
(2)運放的輸入電流噪聲(datasheet有數據曲線),需要流過電阻后轉換成電壓噪聲。
(3)設置放大倍數的電阻R1和Rf的熱噪聲,可通過下面公式計算

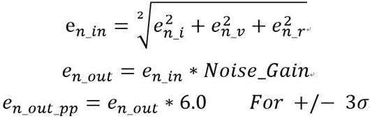
運放噪聲的計算就是將這三個值一一求出來,由于這些噪聲是不相關的,它們的矢量和就是總噪聲,再乘上噪聲增益就可以得到輸出端的噪聲。
計算公式如下(第三個公式輸入可能有誤):

我們將計算得來的輸入總噪聲加到理想運放的正輸入端,就得到了運放的噪聲模型,注意:一定是正輸入端哦!因此不管是同相放大電路還是反相放大電路對噪聲的增益均為G = 1 + Rf/R1。
如下圖:

上面說了噪聲增益,還有一個重要的問題:噪聲帶寬!
datasheet中給的運放噪聲參數一般為譜密度值,比如
也就是說需要對其在噪聲帶寬中進行積分才可以得到噪聲的RMS電壓值(有效值)。噪聲帶寬不同于信號的 -3dB帶寬。確切的說是Brickwall濾波器的帶寬。
簡單說就是把實際的濾波器響應曲線,在保證包含面積不變時轉化成理想低通濾波器時的帶寬。好在我們可以查表得到,N階濾波器的 –3dB帶寬與Brickwall濾波器的帶寬換算系數。
如下表:

介紹一種最簡單的方法,直接通過運放電路噪聲計算器,由Bruce Trump 設計的一個Excel表。這個Excel表格只需要在黃色的單元格輸入相應參數,就可以輸出結果。
比如:只要輸入1/f 噪聲在特定頻率的值,以及平坦噪聲的值,就可以計算出不同頻率下的噪聲密度。輸入頻帶的起止頻率,就可以分析出這些頻帶內各個噪聲的供需率。
或者計算同相放大電路的噪聲密度時,只需要輸入信號源電阻,運放電壓噪聲,運放電流噪聲,電阻值和溫度,就可以計算出輸出電路的噪聲密度,計算結果同樣給出貢需率,方便我們進行噪聲優化設計。
以上提到的運放固有噪聲根據頻段的不同分為低頻的閃爍噪聲1/f ,以及后面的寬帶噪聲。
閃爍噪聲:頻譜密度圖并不平坦,通常說了功率譜以1/f 的速率下降。
寬帶噪聲:頻譜密度圖較平坦的噪聲。
注意這個和呼嘯自激不同。
呼嘯自激是因為輸出信號經過反饋回路后與輸入信號疊加,產生了正反饋的一種現象。是因為使用過程中,沒有處理好反饋信號與輸入信號的相位關系產生的。屬于在布線以及應用時考慮的問題。
而本文的噪聲是器件固有的,由器件本身特性產生。所以選型的時候就要考慮。
通過在運放的輸出端接一個濾波器選擇噪聲的帶寬,即限帶,一般信號調理電路前端都會這樣,帶寬夠用就好。
TI運放技術手冊有一個Current and Voltage Noise參數表,這是噪聲密度在頻譜上的分布情況,最終輸出噪聲水平與噪聲增益和帶寬成正向關系。電流噪聲最終也轉換成電壓噪聲,最終通過平方和開根號算出總噪聲。
〈烜芯微/XXW〉專業制造二極管,三極管,MOS管,橋堆等,20年,工廠直銷省20%,上萬家電路電器生產企業選用,專業的工程師幫您穩定好每一批產品,如果您有遇到什么需要幫助解決的,可以直接聯系下方的聯系號碼或加QQ/微信,由我們的銷售經理給您精準的報價以及產品介紹
聯系號碼:18923864027(同微信)
QQ:709211280

