貼片三極管共基極放大電路圖如下:

從貼片三極管共基極放大電路圖可以看出主要應用在高頻放大或振蕩電路,其低輸入阻抗及高輸出阻抗的特性也可作阻抗匹配用。電路特性歸納如下:
輸入端(EB之間)為正向偏壓,因此輸入阻抗低(約20~200 )
輸出端(CB之間)為反向偏壓,因此輸出阻抗高(約100k~1M )。


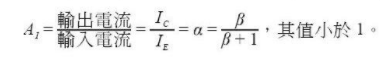
貼片三極管共基極放大電路電流增益:


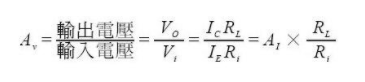
雖然AI小于1,但是RL / Ri很大,因此電壓增益相當高。
貼片三極管共基極放大電路功率增益:

從上圖公式可以看出,由于AI小于1,所以功率增益不大。
烜芯微專業制造二極管,三極管,MOS管,橋堆等20年,工廠直銷省20%,1500家電路電器生產企業選用,專業的工程師幫您穩定好每一批產品,如果您有遇到什么需要幫助解決的,可以點擊右邊的工程師,或者點擊銷售經理給您精準的報價以及產品介紹

